

Impurities
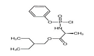
Chemical name: Remdesivir Impurity 26
CAS# 1355049-92-1
Æ÷Àå´ÜÀ§ : Customization
³³±â : 2~3ÁÖ
¢Â ±âŸ¹®ÀÇ ¢Â
Tel. 031-653-7658
Fax. 031-8039-4411
e-mail. info@syinnovation.co.kr
īī¿ÀÅå ¹®ÀÇ : ID "»ï¿µÀ̳뺣À̼Ç" À» °Ë»ö


°í¾×°áÁ¦ÀÇ °æ¿ì ¾ÈÀüÀ» À§ÇØ Ä«µå»ç¿¡¼ È®ÀÎÀüȸ¦ µå¸± ¼öµµ ÀÖ½À´Ï´Ù. È®ÀΰúÁ¤¿¡¼ µµ³ Ä«µåÀÇ »ç¿ëÀ̳ª ŸÀÎ ¸íÀÇÀÇ ÁÖ¹®µî Á¤»óÀûÀÎ ÁÖ¹®ÀÌ ¾Æ´Ï¶ó°í ÆÇ´ÜµÉ °æ¿ì ÀÓÀÇ·Î ÁÖ¹®À» º¸·ù ¶Ç´Â Ãë¼ÒÇÒ ¼ö ÀÖ½À´Ï´Ù.
¹«ÅëÀå ÀÔ±ÝÀº »óǰ ±¸¸Å ´ë±ÝÀº PC¹ðÅ·, ÀÎÅͳݹðÅ·, ÅÚ·¹¹ðÅ· ȤÀº °¡±î¿î ÀºÇà¿¡¼ Á÷Á¢ ÀÔ±ÝÇÏ½Ã¸é µË´Ï´Ù.
ÁÖ¹®½Ã ÀÔ·ÂÇÑ ÀÔ±ÝÀÚ¸í°ú ½ÇÁ¦ÀÔ±ÝÀÚÀÇ ¼º¸íÀÌ ¹Ýµå½Ã ÀÏÄ¡ÇÏ¿©¾ß Çϸç, 7ÀÏ À̳»·Î ÀÔ±ÝÀ» ÇÏ¼Å¾ß Çϸç ÀԱݵÇÁö ¾ÊÀº ÁÖ¹®Àº ÀÚµ¿Ãë¼Ò µË´Ï´Ù.
¹è¼Û ¹æ¹ý : ÅÃ¹è ¹× Á÷³³
¹è¼Û Áö¿ª : Àü±¹
¹è¼Û ºñ¿ë : ÃÑ ±¸¸Å ºñ¿ëÀÌ £Ü100,000 (VATº°µµ) ¹Ì¸¸ÀÏ °æ¿ì ÂøºÒ·Î ¹ß¼Û
¹è¼Û ±â°£ : ±¹»êǰ (3~7ÀÏ), ¼öÀÔǰ (7~14ÀÏ)
¹è¼Û ¾È³»
- »ê°£º®Áö³ª µµ¼Áö¹æÀº º°µµÀÇ Ãß°¡±Ý¾×À» ÁöºÒÇÏ¼Å¾ß ÇÏ´Â °æ¿ì°¡ ÀÖ½À´Ï´Ù.
°í°´´Ô²²¼ ÁÖ¹®ÇϽŠ»óǰÀº ÀÔ±Ý È®ÀÎÈÄ ¹è¼ÛÇØ µå¸³´Ï´Ù. ´Ù¸¸, »óǰÁ¾·ù¿¡ µû¶ó¼ »óǰÀÇ ¹è¼ÛÀÌ ´Ù¼Ò Áö¿¬µÉ ¼ö ÀÖ½À´Ï´Ù.


±³È¯ ¹× ¹ÝǰÀÌ °¡´ÉÇÑ °æ¿ì
- »óǰÀ» °ø±Þ ¹ÞÀ¸½Å ³¯·ÎºÎÅÍ 7ÀÏÀ̳»
±³È¯ ¹× ¹ÝǰÀÌ ºÒ°¡´ÉÇÑ °æ¿ì
- °í°´´ÔÀÇ Ã¥ÀÓ ÀÖ´Â »çÀ¯·Î »óǰµîÀÌ ¸ê½Ç ¶Ç´Â ÈÑ¼ÕµÈ °æ¿ì
- Æ÷ÀåÀ» °³ºÀÇÏ¿´°Å³ª Æ÷ÀåÀÌ ÈÑ¼ÕµÇ¾î »óǰ°¡Ä¡°¡ »ó½ÇµÈ °æ¿ì
- ½Ã°£ÀÇ °æ°ú¿¡ ÀÇÇÏ¿© ÀçÆÇ¸Å°¡ °ï¶õÇÒ Á¤µµ·Î »óǰµîÀÇ °¡Ä¡°¡ ÇöÀúÈ÷ °¨¼ÒÇÑ °æ¿ì
- ¿Âµµ°ü¸®Ç° ¹× ¼öÀÔǰÀº ¹ÝǰÀÌ ºÒ°¡´ÉÇÕ´Ï´Ù.
¡Ø ÁÖ¹® Ãë¼Ò ¹× ¹ÝǰÀ¸·Î ȯºÒÀ» ¿äûÇÏ½Ç °æ¿ì¿¡´Â E-mail(info@syinnovation.co.kr) »ó´ã¼ºñ½º³ª °í°´¸¸Á·¼¾ÅÍ(070-4829-4101)¸¦ ÅëÇØ ¿äûÇϽøé Ä£ÀýÇÏ°Ô Ã³¸®ÇØ µå¸®°Ú½À´Ï´Ù.